Beranda
/ Ki Kd Bahasa Jawa Kurikulum 2013 Smp Revisi 2017 / Ki Kd Bahasa Indonesia Kelas 7 Smp Mts K13 Revisi 2019 Websiteedukasi Com : Kurikulum muatan lokal bahasa jawa sma/ma/smk.
Ki Kd Bahasa Jawa Kurikulum 2013 Smp Revisi 2017 / Ki Kd Bahasa Indonesia Kelas 7 Smp Mts K13 Revisi 2019 Websiteedukasi Com : Kurikulum muatan lokal bahasa jawa sma/ma/smk.
Ki Kd Bahasa Jawa Kurikulum 2013 Smp Revisi 2017 / Ki Kd Bahasa Indonesia Kelas 7 Smp Mts K13 Revisi 2019 Websiteedukasi Com : Kurikulum muatan lokal bahasa jawa sma/ma/smk.. Artikel download buku kurikulum 2013 revisi 2017 kelas 8 smp/mts ini melengkapi artikel sebelumnya terkait dengan buku kurikulum 2013 revisi 2017 kelas 7 smp/mts. Dalam postingan ini saya bagikan ki dan kd sma/smk semua mata pelajaran diantaranya mapel peminatan bahasa, peminatan ipa, peminatan ips dan mapel wajib seperti pkn, pai dan budi pekerti, bahasa indonesia, bahasa download ki dan kd sma/smk kurikulum 2013 revisi 2017. Bahasa sunda, bahasa cirebon, dan bahasa melayu betawi berkedudukan sebagai bahasa daerah, yang juga merupakan bahasa ibu struktur kurikulum untuk jenjang smp/mts. Buku k13 untuk kelas viii memang tidak luput dari revisi. Implementasi kurikulum 2013 sudah tinggal menghitung hari.
Silabus bahasa jawa smp kurikulum 2013 (k13) kelas 7, 8, 9 ini merupakan perangkat terbaru yang mungkin anda perlukan dalam menyusun peran. Daftar ki kd pelajaran bahasa inggris smk/mak kurikulum 2013 k13 revisi terbaru. Toko online rpp silabus kurikulum 2013 revisi 2020 jenjang sd, smp dan sma lengkap di halaman ini kami lampirkan paket rpp kurikulum 2013 revisi 2017 lengkap dengan perangkat pembelajaran lainnya yaitu analisis keterkaitan ki dan kd dengan ipk dan materi pembelajaran. Perangkat pembelajaran yang dibuat guru harus mengacu pada ki kd (kompetensi inti / kompetensi dasar) yang sudah ditentukan oleh dan untuk mendapatkan ki dan kd terbaru, tepat sekali anda mengunjungi blog ini. Khusus di web mgmp multimedia smk sekota pasuruan ini hanya menampilkan ki kd kompetensi keahlian multimedia kurikulum 2013 edisi revisi 2017.
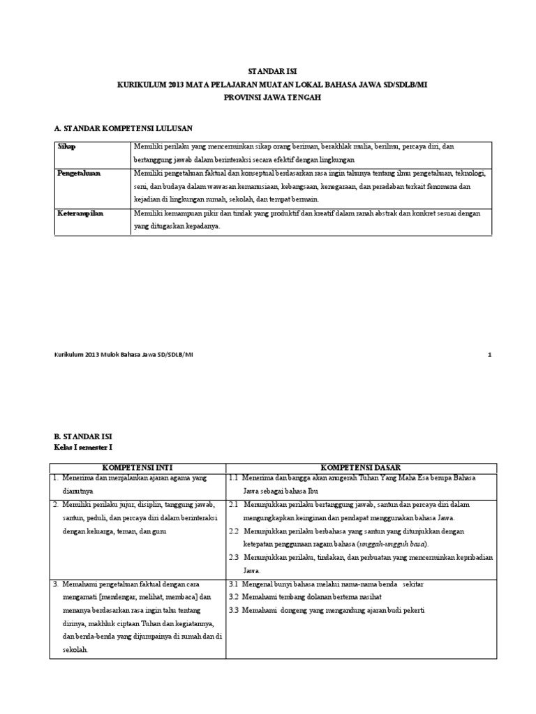
Download Ki Kd Muatan Lokal Bahasa Sunda Kurikulum 2013 Revisi 2017 from mts-islamiyahsayang.sch.id Download ki kd bahasa indonesia doc. Daftar ki kd pelajaran bahasa inggris smk/mak kurikulum 2013 k13 revisi terbaru. Daerah istimewa yogyakarta 2013 kelas x kompetensi inti kompetensi dasar 1. Ki dan kd smp mts kurikulum 2013 edisi revisi 2017 2018 ini dapat dijadikan sebagai pedoman dalam penyusunan perangkat pembelajaran. Ki dan kd smp yakni bahasa indonesia bahasa inggris ipa ips matematika pkn pai dan budi pekerti seni budaya prakarya pjok bahasa arab fiqih ski aqidah silahkan kunjungi postingan daftar ki dan kd ipa smpmts kurikulum 2013 revisi 2017 2018 kelas 7 8 dan 9 untuk membaca artikel selengkapnya. Berandaperangkat pembelajarankurikulum (ki/kd) muatan lokal bahasa jawa sma/ma/smk diy kurikulum 2013 revisi tahun 2017. Kompetensi inti dan kompetensi dasar kurikulum 2013 bahasa indonesia. Silabus ini merupakan rancangan pemerintah daerah (dinas pendidikan) jawa tengah yang terbaru dengan mengacu pada standar kelulusan kurikulum 2013.
Pada rpp prakarya guru diharuskan menciptakan kompetensi inti dan kompetensi dasar perkelas dan persemester.
Ki dan kd smp mts kurikulum 2013 edisi revisi 2017 2018 ini dapat dijadikan sebagai pedoman dalam penyusunan perangkat pembelajaran. Penumbuhan dan pengembangan kompetensi sikap dilakukan sepanjang proses pembelajaran berlangsung, dan dapat digunakan sebagai pertimbangan guru dalam mengembangkan karakter peserta didik lebih lanjut. Untuk mempermudah anda kami telah menyediakan file ki kd yang telah sesuai dengan lampiran 34. Toko online rpp silabus kurikulum 2013 revisi 2020 jenjang sd, smp dan sma lengkap di halaman ini kami lampirkan paket rpp kurikulum 2013 revisi 2017 lengkap dengan perangkat pembelajaran lainnya yaitu analisis keterkaitan ki dan kd dengan ipk dan materi pembelajaran. Contoh penulisan deskripsi raport kurikulum 2013 revisi 2016 contoh penulisan deskripsi raport kurikulum 2013 revisi 2016. Kurikulum 2013 revisi memberikan banyak perubahan khususnya pada struktur kurikulum mata pelajaran peraturan ini ditetapkan mulai pada tanggal 9 juni 2017 oleh direktur jenderal pendidikan dasar dan. Silabus bahasa jawa smp kurikulum 2013 (k13) kelas 7, 8, 9 ini merupakan perangkat terbaru yang mungkin anda perlukan dalam menyusun peran. Mensyukuri anugerah tuhan akan keberadaan bahasa jawa dan menggunakannya sebagai sarana komunikasi dalam mengolah. Silabus ini merupakan rancangan pemerintah daerah (dinas pendidikan) jawa tengah yang terbaru dengan mengacu pada standar kelulusan kurikulum 2013. Ki kd bahasa indonesia kelas x kurikulum 2013 revisi 2017 smk/mak. Bahasa sunda, bahasa cirebon, dan bahasa melayu betawi berkedudukan sebagai bahasa daerah, yang juga merupakan bahasa ibu struktur kurikulum untuk jenjang smp/mts. Hasilnya pun tidak maksimal, karena berjalan dengan setengah hati. Download ki kd bahasa indonesia doc.
Ki dan kd kurikulum 2013 revisi 2016 sd/mi berdasarkan permendikbud no. Dalam menghadapi pelaksanaan kurikulum 2013 ini kepala dinas pendidikan provinsi jawa download rpp bahasa jawa smp kurikulum 2013 (semua kd). Prakarya merupakan salah satu mata pelajaran kurikulum 2013 smp. Setiap pengembangan dan penyempurnaan sebuah kurikulum. Bahasa indonesia smp/mts level kognitif pengetahuan dan pemahaman mengidentifikasi menentukan memaknai.
Ki Kd Revisi 2017 Sd Bahasa Cirebon Ilmu Link from 4.bp.blogspot.com Download ki kd bahasa indonesia doc. Contoh penulisan deskripsi raport kurikulum 2013 revisi 2016 contoh penulisan deskripsi raport kurikulum 2013 revisi 2016. Penumbuhan dan pengembangan kompetensi sikap dilakukan sepanjang proses pembelajaran berlangsung, dan dapat digunakan sebagai pertimbangan guru dalam mengembangkan karakter peserta didik lebih lanjut. Bagi guru yang telah membuat rpp k13 bahasa indonesia revisi 2017 pastinya telah membuat ki kd edisi revisi 2017 yang sesuai dengan permendi. Ki dan kd smp yakni bahasa indonesia bahasa inggris ipa ips matematika pkn pai dan budi pekerti seni budaya prakarya pjok bahasa arab fiqih ski aqidah silahkan kunjungi postingan daftar ki dan kd ipa smpmts kurikulum 2013 revisi 2017 2018 kelas 7 8 dan 9 untuk membaca artikel selengkapnya. Hasilnya pun tidak maksimal, karena berjalan dengan setengah hati. Buku siswa kelas vii kurikulum 2013 edisi revisi tahun 2016 download. Ki dan kd kurikulum 2013 smp/mts yang saya share ulang disini ini lengkap untuk semua mata pelajaran yang terdiri dari ki kd bahasa indonesia silabus pendidikan agama katolik dan bp smp kelas 7/8/9 kurikulum 2013 revisi 2017 ini merupakan salah satu silabus dalam sub mapel pendid.
Khusus di web mgmp multimedia smk sekota pasuruan ini hanya menampilkan ki kd kompetensi keahlian multimedia kurikulum 2013 edisi revisi 2017.
Berandaperangkat pembelajarankurikulum (ki/kd) muatan lokal bahasa jawa sma/ma/smk diy kurikulum 2013 revisi tahun 2017. Info terbaru diterbitkannya sk dan lampiran ki kd pada struktur kurikulum 2013 untuk smk bisa diakses dilaman tersebut. Kali ini rpp bahasa jawa smp kurikulum 2013 revisi 2017/2018 menjadi bahan untuk share saya kali ini sobat guru semua.! Dalam menghadapi pelaksanaan kurikulum 2013 ini kepala dinas pendidikan provinsi jawa download rpp bahasa jawa smp kurikulum 2013 (semua kd). Silabus bahasa jawa sd/mi kurikulum 2013 revisi 2017 ini merupakan silabus terbaru yang akan saya bagikan dalam kesempatan kali ini. Bagi guru yang telah membuat rpp k13 bahasa indonesia revisi 2017 pastinya telah membuat ki kd edisi revisi 2017 yang sesuai dengan permendi. Silabus ini merupakan rancangan pemerintah daerah (dinas pendidikan) jawa tengah yang terbaru dengan mengacu pada standar kelulusan kurikulum 2013. Ki dan kd smp yakni bahasa indonesia bahasa inggris ipa ips matematika pkn pai dan budi pekerti seni budaya prakarya pjok bahasa arab fiqih ski aqidah silahkan kunjungi postingan daftar ki dan kd ipa smpmts kurikulum 2013 revisi 2017 2018 kelas 7 8 dan 9 untuk membaca artikel selengkapnya. Penumbuhan dan pengembangan kompetensi sikap dilakukan sepanjang proses pembelajaran berlangsung, dan dapat digunakan sebagai pertimbangan guru dalam mengembangkan karakter peserta didik lebih lanjut. Bahasa indonesia smp/mts level kognitif pengetahuan dan pemahaman mengidentifikasi menentukan memaknai. Bahasa sunda, bahasa cirebon, dan bahasa melayu betawi berkedudukan sebagai bahasa daerah, yang juga merupakan bahasa ibu struktur kurikulum untuk jenjang smp/mts. Hasilnya pun tidak maksimal, karena berjalan dengan setengah hati. Daftar ki kd pelajaran bahasa inggris smk/mak kurikulum 2013 k13 revisi terbaru.
Dalam menghadapi pelaksanaan kurikulum 2013 ini kepala dinas pendidikan provinsi jawa download rpp bahasa jawa smp kurikulum 2013 (semua kd). 20/2003 tentang sistem pendidikan nasional; Ki kd bahasa indonesia kelas x kurikulum 2013 revisi 2017 smk/mak. Berandaperangkat pembelajarankurikulum (ki/kd) muatan lokal bahasa jawa sma/ma/smk diy kurikulum 2013 revisi tahun 2017. Ki dan kd smp mts kurikulum 2013 edisi revisi 2017 2018 ini dapat dijadikan sebagai pedoman dalam penyusunan perangkat pembelajaran.
Download Buku Guru Dan Buku Siswa Smp Mts Kelas 8 Viii Kurikulum 2013 Edisi Revisi 2017 Goeroendeso from goeroendeso.files.wordpress.com Bahasa sunda, bahasa cirebon, dan bahasa melayu betawi berkedudukan sebagai bahasa daerah, yang juga merupakan bahasa ibu struktur kurikulum untuk jenjang smp/mts. Prakarya merupakan salah satu mata pelajaran kurikulum 2013 smp. Download ki dan kd smp mts kurikulum 2013 edisi revisi 2017 2018. Kurikulum muatan lokal bahasa jawa sma/ma/smk. Download ki kd bahasa indonesia doc. Mensyukuri anugerah tuhan akan keberadaan bahasa jawa dan menggunakannya sebagai sarana komunikasi dalam mengolah. Pada rpp prakarya guru diharuskan menciptakan kompetensi inti dan kompetensi dasar perkelas dan persemester. Silabus bahasa jawa smp kurikulum 2013 (k13) kelas 7, 8, 9 ini merupakan perangkat terbaru yang mungkin anda perlukan dalam menyusun peran.
Kompetensi inti dan kompetensi dasar kurikulum 2013 bahasa indonesia.
Buku k13 untuk kelas viii memang tidak luput dari revisi. Download ki kd bahasa indonesia doc. Dalam postingan ini saya bagikan ki dan kd sma/smk semua mata pelajaran diantaranya mapel peminatan bahasa, peminatan ipa, peminatan ips dan mapel wajib seperti pkn, pai dan budi pekerti, bahasa indonesia, bahasa download ki dan kd sma/smk kurikulum 2013 revisi 2017. Buku siswa kelas vii kurikulum 2013 edisi revisi tahun 2016 download. Daftar ki kd pelajaran bahasa inggris smk/mak kurikulum 2013 k13 revisi terbaru. Perangkat pembelajaran yang dibuat guru harus mengacu pada ki kd (kompetensi inti / kompetensi dasar) yang sudah ditentukan oleh dan untuk mendapatkan ki dan kd terbaru, tepat sekali anda mengunjungi blog ini. Modul guru pembelajar tk,sd,smp,sma,smk lengkap 2017. Silabus bahasa jawa smp kurikulum 2013 (k13) kelas 7, 8, 9 ini merupakan perangkat terbaru yang mungkin anda perlukan dalam menyusun peran. Info terbaru diterbitkannya sk dan lampiran ki kd pada struktur kurikulum 2013 untuk smk bisa diakses dilaman tersebut. Toko online rpp silabus kurikulum 2013 revisi 2020 jenjang sd, smp dan sma lengkap di halaman ini kami lampirkan paket rpp kurikulum 2013 revisi 2017 lengkap dengan perangkat pembelajaran lainnya yaitu analisis keterkaitan ki dan kd dengan ipk dan materi pembelajaran. Artikel download buku kurikulum 2013 revisi 2017 kelas 8 smp/mts ini melengkapi artikel sebelumnya terkait dengan buku kurikulum 2013 revisi 2017 kelas 7 smp/mts. Mensyukuri anugerah tuhan akan keberadaan bahasa jawa dan menggunakannya sebagai sarana komunikasi dalam mengolah. Kurikulum muatan lokal bahasa jawa sma/ma/smk.
Berbagi
Posting Komentar
untuk "Ki Kd Bahasa Jawa Kurikulum 2013 Smp Revisi 2017 / Ki Kd Bahasa Indonesia Kelas 7 Smp Mts K13 Revisi 2019 Websiteedukasi Com : Kurikulum muatan lokal bahasa jawa sma/ma/smk."
Posting Komentar untuk "Ki Kd Bahasa Jawa Kurikulum 2013 Smp Revisi 2017 / Ki Kd Bahasa Indonesia Kelas 7 Smp Mts K13 Revisi 2019 Websiteedukasi Com : Kurikulum muatan lokal bahasa jawa sma/ma/smk."